RTC生产注意事项及停振理论分析
发布日期:2024-05-24

595 次
晶振外置的RTC应用电路一般由RTC芯片、外置32k晶振、负载电容组成,最常见的电路原理图大致如下,其中U1为RTC芯片,Y1为32k晶振,C1、C2为晶振负载电容。

生产中,引起RTC停振的原因大致如下:
1、当焊接晶振采用烙铁手工焊接方式时,可能因为烙铁温度过高,碰触到晶振本体而导致晶振内部石英晶片融化。
2、晶振内部石英晶片很薄,对来自外部的剧烈机械振动异常敏感,尤其是不可超声波清洗与焊接。市面上的一般超声波设备频率与32k晶振频率接近,容易引起晶振晶片共振而损坏晶振。
3、有些厂家的生产员工在清洗晶振时,使用硬毛刷暴力拖拽晶振引脚,容易使其拉断,造成晶振接触不良与漏气,导致RTC不走时。
4、有些厂家即使没有洗板工序,同样也会有停振现象出现,问题可能出现在设计PCB时晶振引脚过于接近,在焊接时,引脚周围聚集松香或杂质过多,可能引起晶振并联电阻过小而停振。
5、有些工程师在排版晶振时,会把晶振本体接地,此时本地接地焊盘不宜过大,不然焊接时会因焊盘吸热过多,更多热量传送到晶振内部,导致晶振损坏。
6、晶振排版布线时,晶振与RTC芯片距离不宜过长,应使晶振紧挨着RTC芯片。
7、晶振与负载电容共同维持了RTC的振荡,当匹配电容过大时,同样会出现晶振停振,我司推荐的负载电容一般不超过20pF。
RTC停振理论分析
RTC内部振荡器电路如下图所示:

除了石英晶振外,mp、mn、Rf、C1、C2器件全部集成于芯片之中,考虑到OSCIN和OSCOUT引脚到地的等效电阻R1、R2,上图的等效电路结构如下图:

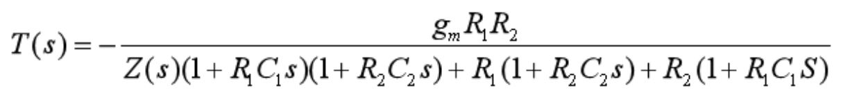
其s域的传输函数为:

取T(s)函数的实部为nRes(称为振荡负阻),并将C0、 L0、R0、Rf、gm1、C1、C2合适的参数代入,并假设R1=R2,以R1、R2为变量,画出R1、R2和nRes的关系图如下:

为了保证晶振可靠的振荡,一般要求振荡负阻大于5倍的晶振内串联电阻R0。兴威帆的RTC充分考虑了设计冗余,在外置谐振电容值合适的情况下,能稳定可靠地振荡工作。
版权声明:本站内容除特别声明的原创文章之外,转载内容只为传递更多信息,并不代表本网站赞同其观点。转载的所有的文章、图片、音/视频文件等资料的版权归版权所有权人所有。本站采用的非本站原创文章及图片等内容无法一一联系确认版权者。如涉及作品内容、版权和其它问题,请及时通过电子邮件或电话通知我们,以便迅速采取适当措施,避免给双方造成不必要的经济损失。联系电话:020-2204 2442,邮箱:Sales@greentest.com.cn。
为您精选
-
VectWorks是绿测科技自主研发的一套电子电气部件性能测试系统,符合ISO 16750-2:2023、MBN LV 124-1 2013-03、MBN LV 148 20···
更新日期:2025-04-24
292 次
-
VectWorks是绿测科技自主研发的一套电子电气部件性能测试系统,符合ISO 16750-2:2023、MBN LV 124-1 2013-03、MBN LV 148 20···
更新日期:2025-04-24
283 次
-
10月14日消息,近日在广州召开的中国移动合作伙伴大会上,飞腾联合中国移动智慧家庭运营中心、中国移动研究院、北京信而泰科···
更新日期:2025-12-12
34 次
-
全球量子科学家正致力于推动量子计算机向着更可靠、更强大的方向迈进。在此进程中,2025年10月15日,德国初创企业 eleQtron ···
更新日期:2025-12-12
11 次
-
6G时代曙光初现,移动生态系统正迈入技术定义与协同创新的关键阶段。第三代合作伙伴计划(3GPP)、AI-RAN联盟及O-RAN联盟等组···
更新日期:2025-12-12
8 次
最新文章
-
发布日期: 2025-12-12
-
发布日期: 2025-12-12
-
发布日期: 2025-12-12
-
发布日期: 2025-12-12
-
发布日期: 2025-12-12